Задание 591 - ГДЗ Геометрия 7-9 класс. Атанасян. Учебник. Страница 157

Старая и новая редакции

Вернуться к содержанию учебника

588 589 590 591 592 593 594

Вопрос

Выберите год учебника

№591 учебника 2013-2022 (стр. 157):

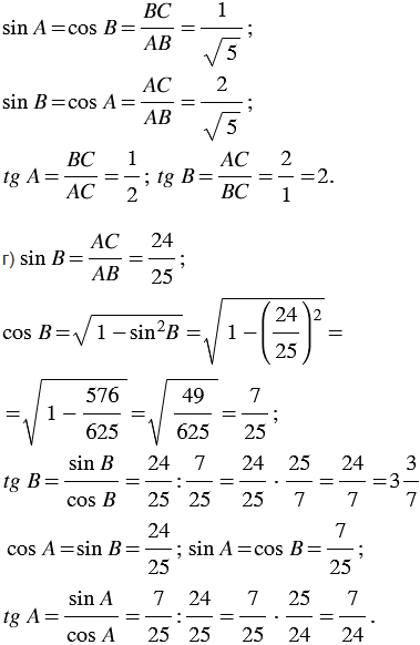
Найдите синус, косинус и тангенс углов А и В треугольника АВС с прямым углом С, если: а) ВС = 8, АВ = 17; б) ВС = 21, АС = 20; в) ВС = 1, АС = 2; г) АС = 24, АВ = 25.


№591 учебника 2023-2024 (стр. 157):

Найдите сторону и площадь ромба, если его диагонали равны 10 см и 24 см.

Подсказка

№591 учебника 2013-2022 (стр. 157):


№591 учебника 2023-2024 (стр. 157):

Вспомните:

  1. Какой четырехугольник называется ромбом, его свойства.
  2. Что такое диагональ многоугольника.
  3. Что такое площадь многоугольника.
  4. Какой треугольник называется прямоугольным.
  5. Теорему Пифагора.

Ответ

№591 учебника 2013-2022 (стр. 157):


№591 учебника 2023-2024 (стр. 157):


Вернуться к содержанию учебника