Задание 2.388 - ГДЗ Математика 6 класс. Виленкин, Жохов. Учебник часть 1

Старая и новая редакции

Вернуться к содержанию учебника

2.385 2.386 2.387 2.388 2.389 2.390 2.391

Вопрос

Выберите год учебника

№2.388 учебника 2023-2024 (стр. 96):

Корабли возвращаются в порт приписки после каждого рейса. У первого корабля рейс длится 6 дней, у второго - 5 дней, а у третьего - 20 дней. Через сколько дней корабли встретятся в порту, если в первый рейс они вышли одновременно?


№2.388 учебника 2021-2022 (стр. 91):

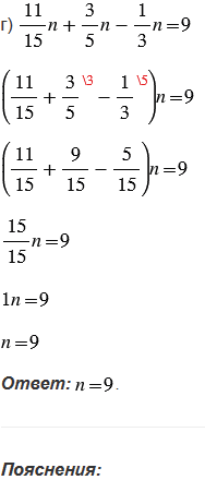
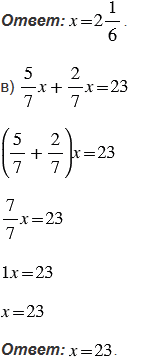
Найдите корень уравнения:

Подсказка

№2.388 учебника 2023-2024 (стр. 96):

Вспомните:

  1. Разложение на простые множители.
  2. Наименьшее общее кратное.

№2.388 учебника 2021-2022 (стр. 91):

Вспомните:

  1. Что называют уравнением, его корни.
  2. Распределительное свойство умножения.
  3. Умножение обыкновенных дробей.
  4. Основное свойство дроби (сокращение дробей).
  5. Деление и дроби.
  6. Неправильные дроби.
  7. Деление с остатком.
  8. Сложение и вычитание дробей с одинаковыми знаменателями.
  9. Сложение и вычитание дробей с разными знаменателями.
  10. Приведение дробей к общему знаменателю.

Ответ

№2.388 учебника 2023-2024 (стр. 96):

5 - простое число.

6 = 2 • 3.

20 = 2 • 2 • 5

НОК(5; 6; 20) = 2 • 2 • 3 • 5 = 4 • 15 = 60.

Ответ: через 60 дней корабли встретятся в порту, если в первый рейс они вышли одновременно.


Пояснения:

Корабли возвращаются в порт приписки после каждого рейса. У первого корабля рейс длится 6 дней, у второго - 5 дней, а у третьего - 20 дней. Чтобы узнать, через сколько дней корабли встретятся в порту, если в первый рейс они вышли одновременно, нужно найти наименьшее общее кратное чисел 6, 5 и 20.

Наименьшее натуральное число, которое делится нацело на каждое из данных натуральных чисел, то есть кратно каждому из них, называют наименьшим общим кратным этих чисел. 

Чтобы найти НОК нескольких натуральных чисел, надо:

  1. разложить их на простые множители;
  2. выписать множители, входящие в разложение одного из чисел;
  3. добавить к ним недостающие множители из разложений остальных чисел;
  4. найти произведение получившихся множителей.

Разложим на простые множители числа 5, 6 и 20.

5 - простое число.

6 = 2 • 3.

20 = 2 • 2 • 5

НОК(5; 6; 20) = 2 • 2 • 3 • 5 = 4 • 15 = 60.

Значит, через 60 дней корабли встретятся в порту, если в первый рейс они вышли одновременно.


№2.388 учебника 2021-2022 (стр. 91):


Вернуться к содержанию учебника