Вернуться к содержанию учебника
Выберите год учебника
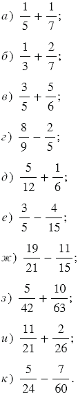
№2.193 учебника 2023-2024 (стр. 69):
Выполните действие:

В примерах г) и е) выполненное вычитание проверьте сложением, в примерах ж) и к) - вычитанием.
№2.193 учебника 2021-2022 (стр. 62):
1) Из посёлка выехал велосипедист со скоростью 13 км/ч. Через 0,2 ч за ним выехал автомобилист со скоростью 55 км/ч. Через какое время после своего выезда автомобилист обгонит велосипедиста на 10 км?
2) Байдарка отплыла от пристани со скоростью 6 км/ч. Через 0,6 ч за ней отправилась моторная лодка со скоростью 44 км/ч. Через какое время моторная лодка обгонит байдарку на 4 км?
№2.193 учебника 2023-2024 (стр. 69):
Вспомните:
№2.193 учебника 2021-2022 (стр. 62):
Вспомните:
№2.193 учебника 2023-2024 (стр. 69):


Чтобы сравнить (сложить, вычесть) дроби с разными знаменателями, надо:
1) привести дроби к наименьшему общему знаменателю;
2) сравнить (сложить, вычесть) полученные дроби.
Наименьший общий знаменатель равен наименьшему общему кратному знаменателей данных дробей.
Наименьшим общим кратным (НОК) нескольких натуральных чисел называют наименьшее натуральное число, которое делится на каждое из этих чисел.
Чтобы найти сумму двух дробей с одинаковыми знаменателями, нужно сложить их числители, а знаменатель оставить прежним.
Чтобы найти разность двух дробей с одинаковыми знаменателями, нужно из числителя уменьшаемого вычесть числитель вычитаемого, а знаменатель оставить прежним.
Чтобы проверить вычитание сложением, надо найти сумму вычитаемого и разности, если полученная сумма будет равна уменьшаемому, то вычитание выполнено верно.
Чтобы проверить вычитание вычитанием, надо найти разность уменьшаемого и разности, если полученное значение будет равно вычитаемому, то вычитание выполнено верно.
Чтобы неправильную дробь, числитель которой нацело не делится на знаменатель, преобразовать в смешанное число, надо числитель разделить на знаменатель; полученное неполное частное записать как целую часть смешанного числа, а остаток - как числитель его дробной части.
№2.193 учебника 2021-2022 (стр. 62):
1) 1) 13•0,2 = 2,6 (км) - проедет велосипедист за 0,2 ч.
2) 55 - 13 = 42 (км/ч) - скорость сближения.
3) 10 + 2,6 = 12,6 (км) - на столько больше должен проехать автомобилист, чем велосипедист после своего выезда.
4) 12,6 : 42 = 0,3 (ч) - время, через которое после своего выезда автомобилист обгонит велосипедиста на 10 км.
Ответ: через 0,3 ч после своего выезда автомобилист обгонит велосипедиста на 10 км
2) 1) 6•0,6 = 3,6 (км) - проплыла байдарка за 0,6 ч.
2) 44 - 6 = 38 (км/ч) - скорость сближения.
3) 3,6 + 4 = 7,6 (км) - на столько больше должна проплыть моторная лодка, чем байдарка после своего выезда.
4) 7,6 : 38 = 0,2 (ч) - время, через которое моторная лодка обгонит байдарку на 4 км.
Ответ: через 0,2 ч моторная лодка обгонит байдарку на 4 км.
Вернуться к содержанию учебника