Задание 61 - ГДЗ Геометрия 7-9 класс. Атанасян. Учебник

Старая и новая редакции

Вернуться к содержанию учебника

58 59 60 61 62 63 64

Вопрос

Выберите год учебника

№61 учебника 2013-2022 (стр. 24):

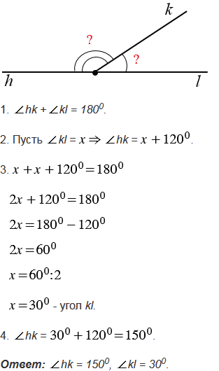
Найдите смежные углы hk и kl, если:

а) hk меньше kl на 400;

б) hk больше kl на 1200;

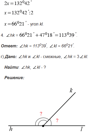
в) hk больше kl на 47018';

г) hk = 3kl;

д) hk : kl = 5 : 4.


№61 учебника 2023-2024 (стр. 25):

Начертите неразвернутый угол MON  и отметьте точку Р внутри угла и точку Q - вне его. С помощью чертежного угольника и линейки через точки Р и Q проведите прямые, перпендикулярные к прямым OM и ON.

Подсказка

№61 учебника 2013-2022 (стр. 24):

Вспомните:

  1. Какие углы называются смежными и их свойство.
  2. Единицы измерения углов.

№61 учебника 2023-2024 (стр. 25):

Вспомните:

  1. Что такое неразвернутый угол.
  2. Где находится внутренняя и внешняя области угла.
  3. Какие прямые называются перпендикулярными.

Ответ

№61 учебника 2013-2022 (стр. 24):


№61 учебника 2023-2024 (стр. 25):


Вернуться к содержанию учебника