Номер 559 - ГДЗ Алгебра 8 класс. Мерзляк, Полонский. Учебник. Страница 141

Вернуться к содержанию учебника

Упражнения §17. Страница 141

556 557 558 559 560 561 562

Вопрос

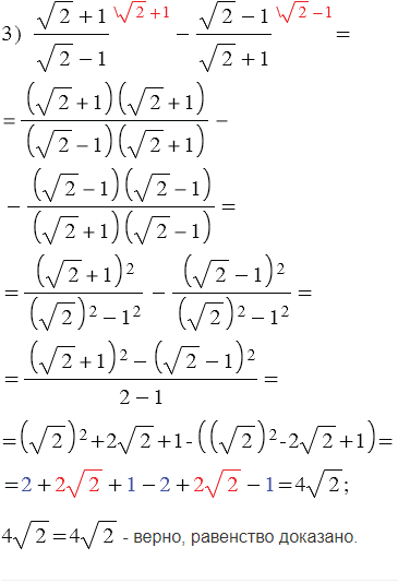
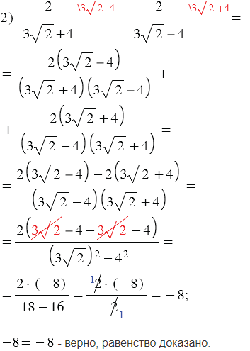
Докажите:

Подсказка

Ответ


Вернуться к содержанию учебника