Вернуться к содержанию учебника
Упражнения § 9. Страница 74
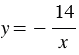
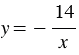
Найдите значение функции
, если:
1)
= 2;
2)
= -1;
3)
= 3,5;
4)
= -6.
Вспомните:

Пояснения:
Функцией называют правило, с помощью которого по каждому значению независимой переменной можно найти единственное значение зависимой переменной. Как правило, независимую переменную обозначают буквой
, зависимую - буквой
. Независимую переменную еще называют аргументом функции.
Чтобы найти значение функции
при заданном значении аргумента
, нужно в формулу, которая задает рассматриваемую функцию, в данном случае это формула
, вместо
подставить числовое значение данное в условии и выполнить вычисления. При выполнении вычислений учитываем то, что дробь можно заменить делением (числитель делим на знаменатель). Если же дробь неправильная и числитель не делится нацело на знаменатель, то рассматриваемую неправильную дробь нужно преобразовать в смешанное число, предварительно выполнив сокращение, если это возможно. Чтобы неправильную дробь, числитель которой нацело не делится на знаменатель, преобразовать в смешанное число, надо числитель разделить на знаменатель; полученное неполное частное записать как целую часть смешанного числа, а остаток - как числитель его дробной части.
Также при вычислениях помним следующие правила:
1) чтобы найти частное двух отрицательных чисел, надо разделить модуль делимого на модуль делителя;
2) чтобы найти частное двух чисел с разными знаками, надо разделить модуль делимого на модуль делителя и поставить перед полученным числом знак "
".
Вернуться к содержанию учебника