Номер 280 - ГДЗ Алгебра 8 класс. Мерзляк, Полонский. Учебник. Страница 71

Вернуться к содержанию учебника

Упражнения § 9. Страница 71

277 278 279 280 281 282 283

Вопрос

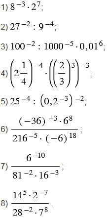
Найдите значение выражения:

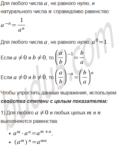
Подсказка

Ответ


Вернуться к содержанию учебника