Задание 269 - ГДЗ Математика 6 класс. Виленкин, Жохов. Учебник часть 2. Страница 64

Старая и новая редакции

Вернуться к содержанию учебника

266 267 268 269 270 271 272

Вопрос

№269 учебника 2018-2020 (стр. 64):

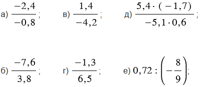
Найдите значение выражения:

Подсказка

Ответ

№269 учебника 2018-2020 (стр. 64):


Вернуться к содержанию учебника