Задание 1348 - ГДЗ Математика 6 класс. Виленкин, Жохов, Чесноков. Учебник. Страница 235

Старая и новая редакции

Вернуться к содержанию учебника

1345 1346 1347 1348 1349 1350 1351

Вопрос

№1348 учебника 2011-2017 (стр. 235):

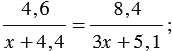
Решите уравнение, используя основное свойство пропорции:

а)

б)

Подсказка

Ответ

№1348 учебника 2011-2017 (стр. 235):


Вернуться к содержанию учебника