Вернуться к содержанию учебника
№1237 учебника 2011-2017 (стр. 216):
Раскройте скобки и найдите значение выражения:
а) 5,4 + (3,7
5,4);
б)
8,79 + (
1,76 + 8,79);
в) 3,4 + (2,9
3,4 + 4,1);
г) (4,67
3,94) + (3,94
3,67);
д) 7,2
(3,2
5,9);
е) (4,8 + 2,75)
(4,8
3,25);
ж)
6,9
(4,21
10,9);
з) (3,72
5,43)
(4,57 + 3,22);
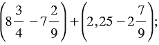
и) 
к) 
л) 
м) 
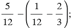
н) 
о) 
п) 
р) 
№1237 учебника 2011-2017 (стр. 216):
Вспомните:
Вернуться к содержанию учебника