Задание 845 - ГДЗ Математика 6 класс. Виленкин, Жохов, Чесноков. Учебник

Старая и новая редакции

Вернуться к содержанию учебника

842 843 844 845 846 847 848

Вопрос

Выберите год учебника

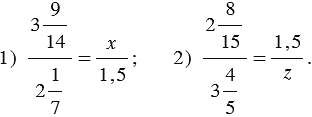
№845 учебника 2018-2020 (стр. 152):

Решите уравнение:


№845 учебника 2011-2017 (стр. 137):

Длина детали на чертеже, сделанном в масштабе 1 : 3, равна 2,4 см. Чему будет равна длина этой детали на другом чертеже, сделанном в масштабе 2 : 1?

Подсказка

№845 учебника 2018-2020 (стр. 152):

Вспомните:

  1. Как решать уравнения.
  2. Основное свойство пропорции.
  3. Что такое дробь.
  4. Десятичную запись дробных чисел.
  5. Смешанные числа.
  6. Дробные выражения.
  7. Умножение и деление обыкновенных дробей и смешанных чисел.

№845 учебника 2011-2017 (стр. 137):

Вспомните:

  1. Что такое отношение.
  2. Что называют масштабом.
  3. Уравнения.
  4. Пропорции.
  5. Десятичные дроби.
  6. Умножение десятичных дробей.

Ответ

№845 учебника 2018-2020 (стр. 152):


№845 учебника 2011-2017 (стр. 137):


Вернуться к содержанию учебника