Вернуться к содержанию учебника
Выберите год учебника
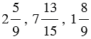
№380 учебника 2018-2020 (стр. 68):
Запишите дробную часть чисел
в виде неправильной дроби, уменьшив целую часть этих чисел на 1.
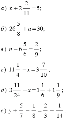
№380 учебника 2011-2017 (стр. 62):
Решите уравнение:

№380 учебника 2018-2020 (стр. 68):
Вспомните:
Какие дроби называются неправильными.
№380 учебника 2011-2017 (стр. 62):
Вспомните:
Вернуться к содержанию учебника